找回密码
 立即注册

微信扫码登录

搜索

[围术期无驱动] NeoCOAST-2:围术期非小细胞肺癌的开放标签II期多臂平台研究

  [复制链接]
阳光肺科 发表于 2025-7-13 09:56:45 | 显示全部楼层 |阅读模式

马上注册,阅读更多内容,享用更多功能!

您需要 登录 才可以下载或查看,没有账号?立即注册

×
美国MD安德森癌症中心Tina Cascone教授团队在《Nature Medicine》上发表了一篇题为"Perioperative durvalumab plus chemotherapy plus new agents for resectable non-small-cell lung cancer: the platform phase 2 NeoCOAST-2 trial"的研究报告。该研究评估了度伐利尤单抗联合化疗及新型药物(oleclumab、monalizumab或dato-potamab deruxtecan)在可切除NSCLC患者中的疗效和安全性,结果显示含ADC的联合方案展现出更高的病理缓解率,为可切除NSCLC的围手术期治疗提供了新的选择。开创了ADC药物在围手术期治疗中的应用先河。

NeoCOAST创新的研究设计:
095228tspmj6qknkkmfnll.png
主要终点是病理完全缓解(pCR)率和安全性;
次要终点包括手术的可行性以及主要病理缓解(mPR)率。


在II期NeoCOAST-2平台研究中,
队列1:接受新辅助治疗的durva联合铂类双药化疗,其中加入CD73抑制剂oleclumab;
队列2:接受新辅助治疗的durva联合铂类双药化疗,其中加入加入NKG2A抑制剂monalizumab;
队列3:双抗(PD-1/CTLA-4)+化疗新辅助治疗,术后双抗辅助治疗
队列4:接受新辅助治疗的durvalumab联合单药铂类化疗以及TROP-2抗体药物偶联物(ADC)datopotamab deruxtecan;(IO+ADC)
队列5:Durva+AZD0171(针对罕见的靶点:LIF)
队列6:双抗(PD-1/TIGIT)+化疗新辅助治疗,术后双抗辅助治疗
队列7:双抗(PD-1/TIGIT)联合单药铂类化疗以及TROP-2抗体药物偶联物(ADC)+铂类单药,术后双抗辅助治疗 (双抗+ADC)

随后进行手术切除,并接受辅助治疗,其中1组和2组接受durvalumab联合oleclumab或monalizumab,4组接受单独的durvalumab治疗。



研究主要结果
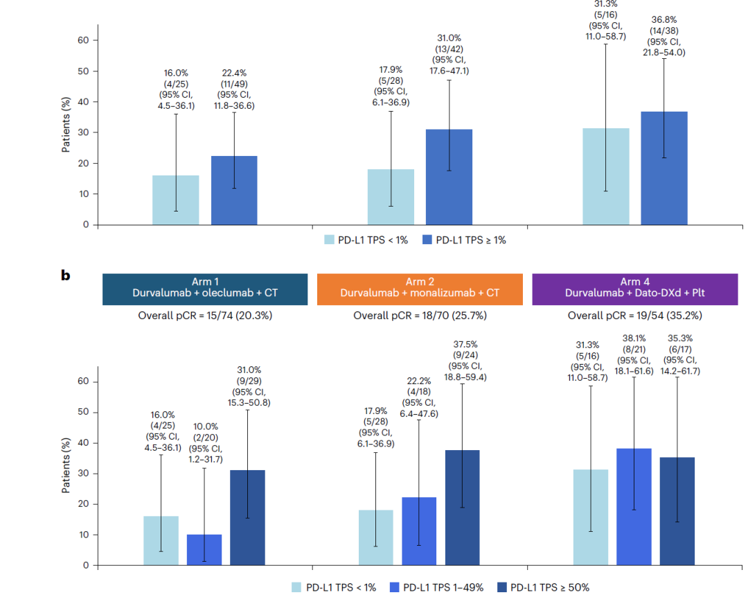
202例未经治疗的可切除IIA–IIIB期非小细胞肺癌(NSCLC)患者被随机分配到以下治疗组:在改良意向治疗人群(n = 198;1组,n = 74;2组,n = 70;4组,n = 54)中,1组、2组和4组的pCR率分别为20.3%、25.7%和35.2%,mPR率分别为41.9%、50.0%和63.0%。

1)含ADC的联合方案展现最优病理缓解率
  • 在198例改良意向治疗人群中,Arm 4(度伐利尤单抗+Dato-DXd+单药铂类化疗)的pCR率达35.2%(19/54),显著高于Arm 1(20.3%)和Arm 2(25.7%),且95%置信区间显示具有统计学意义(图1)。
  • 主要病理缓解(mPR)率在Arm 4达到63.0%(34/54),远高于Arm 1(41.9%)和Arm 2(50.0%),表明ADC联合方案可显著减少肿瘤残余(图1)。
  • Arm 4组的中位残余存活肿瘤比例仅为4.5%(IQR 0-25.0),优于Arm 1(20.0%)和Arm 2(10.0%),证实ADC能更彻底清除肿瘤细胞。
  • 病理缓解优势跨越PD-L1表达水平,在PD-L1<1%亚组中Arm 4的pCR率达31.3%,突破现有治疗方案对该人群疗效有限的瓶颈。


095229fgzxl2hvv46y1ddz.png
图1 三组治疗方案的病理完全缓解与主要病理缓解率对比
095230gzkess6f6baf6qet.png

2)手术可行性不受联合治疗方案影响
  • 三组手术完成率均超过93%(Arm 1:93.2%,Arm 2:93.0%,Arm 4:94.4%),R0切除率保持在88%以上,证明新型联合方案不影响手术实施。
  • 手术延迟发生率较低(Arm 1:14.5%,Arm 4:27.5%),且多数延迟时间短于4周,主要归因于后勤或日程问题而非治疗毒性。
  • 术后并发症发生率在Arm 4最低(29.4%),严重并发症(≥3级)仅3.9%,显示含ADC方案围手术期安全性良好。
  • 从末次新辅助给药到手术的中位时间三组相近(34-36天),符合40天的预设窗口期,证实治疗方案与手术时间安排协调性佳(图2)。

095230ykiq8ubdiabqq8ib.png
图2 患者治疗流程与手术完成情况概览

3)安全性特征与现有标准方案相当
  • Arm 4的≥3级治疗相关不良事件发生率最低(20.4%),而Arm 1和Arm 2分别为36.5%和40.8%,提示ADC可能带来更优安全性。
  • 新辅助期最常见AE为贫血(Arm 4:44.4%)、乏力(42.6%)和血小板减少(31.5%),特征与化疗方案一致,未发现新的安全信号(图3c)。
  • 免疫介导AE发生率在Arm 4为9.3%,与Arm 1(6.8%)和Arm 2(12.7%)相当,且多为低级别,显示联合用药未显著增加免疫毒性。
  • Dato-DXd特殊关注AE如口腔黏膜炎(40.7%)和眼部事件(20.4%)多为1-2级,仅1例间质性肺病(1.9%),安全性可控(图3d)。


095230r2ai22kkp4jy6221.png
    在安全性人群中,分别有69/74(93.2%)、66/71(93.0%)和51/54(94.4%)的患者接受了手术。总体而言,1组、2组和4组分别有27/74(36.5%)、29/71(40.8%)和11/54(20.4%)的患者发生了≥3级的治疗相关不良事件。

     在NeoCOAST-2研究中,这是首次在可切除NSCLC的新辅助治疗中探索ADC联合化疗免疫治疗的试验,datopotamab deruxtecan组的pCR率最高,这表明需要在更大的试验中进一步研究ADC和免疫检查点抑制剂在新辅助治疗中的应用。ClinicalTrials.gov注册号:NCT05061550。
附:
基线:

095231fssssplldusddxle.png

总结:
NeoCOAST-2研究结果(IO联合ADC新辅助治疗后,pCR率:34%)确实相比AEGEAN pCR率(17%)有一定的提升。

本项II期研究首次在全球范围内评估了ADC药物在可切除NSCLC新辅助治疗中的应用,证实度伐利尤单抗联合Dato-DXd及单药铂类化疗可显著提高病理完全缓解率和主要病理缓解率,且安全性特征与现有标准方案相当。研究采用多臂随机设计,同步评估三种不同联合策略,为后续III期临床试验的方案选择提供了重要依据。此外,含ADC方案在不同PD-L1表达亚组均表现出稳健疗效。手术可行性数据进一步支持了该方案在真实临床实践中的适用性。

从NeoCOAST-2出发,怎样踩中NSCLC新辅助治疗的历史进程?

参考文献:
1. Ai, X. et al. Noninvasive early identification of durable clinical benefit from immune checkpoint inhibition: a prospective multicenter study (NCT04566432). Sig Transduct Target Ther 9, 350 (2024).
2. Sujit, S.J. et al. Enhancing NSCLC recurrence prediction with PET/CT habitat imaging, ctDNA, and integrative radiogenomics-blood insights. Nat Commun 15, 3152 (2024).
3. Ranjan, K. et al. IL-4 mediated TAP2 downregulation is a dominant and reversible mechanism of immune evasion and immunotherapy resistance in non-small cell lung cancer. Mol Cancer 24, 80 (2025).
4. Cascone, T. et al. Perioperative durvalumab plus chemotherapy plus new agents for resectable non-small-cell lung cancer: the platform phase 2 NeoCOAST-2 trial. Nat Med (2025).
原文链接:https://doi.org/10.1038/s41591-025-03746-z


 楼主| 阳光肺科 发表于 2025-7-13 10:08:50 | 显示全部楼层

前沿速递 | 【Nat Med.】围手术期度伐利尤单抗联合化疗及新药治疗可切除非小细胞肺癌:II 期 NeoCOAST-2 试验

游客,您所在的用户组(游客)暂无权限查看回复内容,请微信注册本站
运动健康 发表于 2025-7-13 10:22:07 | 显示全部楼层

可切除非小细胞肺癌围手术期Durvalumab联合化疗及新型药物的II期平台研究:NeoCOAST-2试验结果

游客,您所在的用户组(游客)暂无权限查看回复内容,请微信注册本站
824541d4b4b43ffbd6909897f77486e8.jpg
您需要登录后才可以回帖 登录 | 立即注册

本版积分规则

给我们建议|手机版|阳光肺科 ( 粤ICP备2020077405号-1 )

GMT+8, 2026-5-18 18:17

Powered by Discuz! X3.5

© 2001-2026 Discuz! Team.

快速回复 返回顶部 返回列表