阳光肺科

 找回密码
 立即注册

微信扫码登录

搜索

[MAP] 🈯非小细胞肺癌:同肺叶/同侧不同肺叶多发不连续肺结节,对侧肺转移癌,多原发肺癌(IIB, IIIA, IVA期)

[复制链接]
阳光肺科 发表于 2021-10-19 16:32:41 | 显示全部楼层 |阅读模式
Slide9.GIF
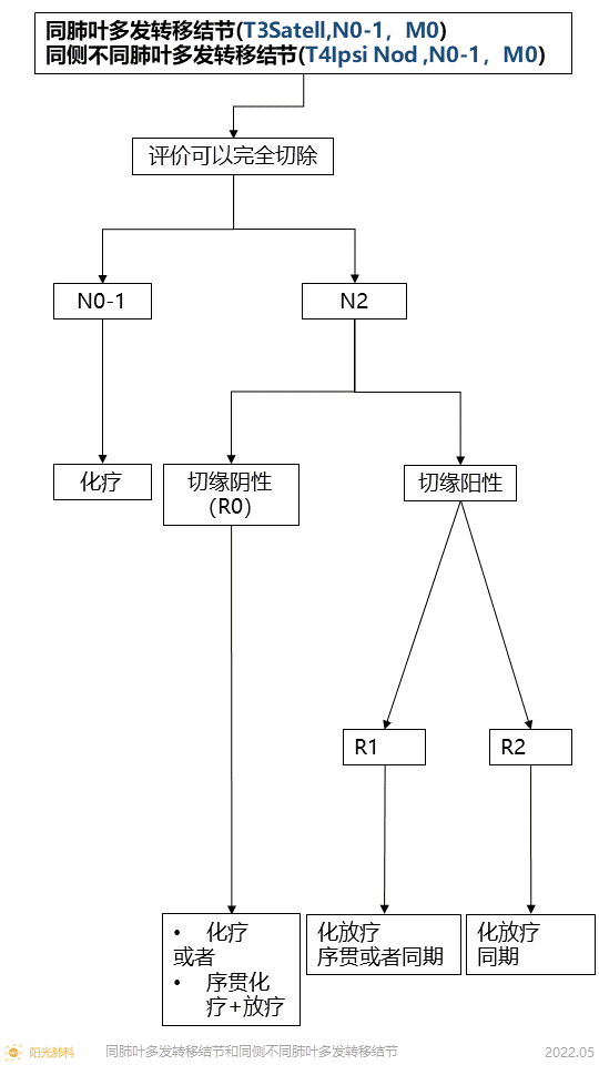
同肺叶/同侧不同肺叶多个不连续肺结节,多原发肺癌,对侧肺转移癌(IIB, IIIA, IVA期)
同肺叶多个(T3卫星N0-1M0),同侧不同肺叶多个(T4同侧肺N0-1M0)转移结节

#链接

#相关链接


@MAP注释:
  • R0=无残留肿瘤,R1=显微残留肿瘤,R2=肉眼残留肿瘤。
  • 评估方法包括纵隔镜检查、纵隔切开术、EBUS、EUS 和CT 引导活检。纵隔淋巴结临床(PET和/或CT)阳性而EBUS‐TBNA 为恶性肿瘤阴性者,应在手术切除前接受随后的纵隔镜检查。
  • PET/CT 检查颅底至膝盖或全身。PET/CT 扫描发现的远处转移需要病理或其他影像学证实。
  • 如果PET/CT 扫描纵隔呈阳性,则需要病理证实淋巴结状况。
  • 如果无法进行MRI 检查,则进行头部增强CT。
  • 在手术评估后,可能接受辅助化疗的患者可以选择诱导化疗。
  • 不同细胞类型(如鳞癌、腺癌)的病变通常是不同的原发肿瘤。这项分析可能会受到小样本活检的限制。然而,同一种细胞类型的病变不一定是转移的。对侧单个肺结节的临床、放射或病理特征提示为同时性原发肺癌(例如,无病生存期长、磨玻璃成分、组织学特征不同),若具有局部治疗可能,应被认为是多原发肿瘤,并可接受局部治疗。

参考文献
  • NCCN Clinical Practice Guidelines in Oncology. Non-Small Cell Lung Cancer. 2022. Version 2. NSCL-8、10、14、17 部分
  • ACCP. Diagnosis and Management of Lung Cancer,3rd ed: American College of Chest Physicians Evidence-Based Clinical Practice Guidelines. 2013
  • 中国临床肿瘤学会指南工作委员会.中国临床肿瘤学会 (CSCO) 非小细胞肺癌诊疗指南. 2022.
  • Wu YL,Planchard D, Lu S, et al. Pan-Asianadapted Clinical Practice Guidelines for the management of patients withmetastatic non-small-cell lung cancer: a CSCO–ESMO initiative endorsed by JSMO,KSMO, MOS, SSO and TOS. Annals of Oncology, 2019,30(2):171–210, https://doi.org/10.1093/annonc/mdy554.



020156u97bd9zbgegzet57.gif [size=0.83em]Slide10.gif (23.18 KB)
下载附件  设为封面
[color=rgb(153, 153, 153) !important]2022-5-18 02:01 上传




#链接

#相关链接


@MAP注释:


参考文献
  • NCCN Clinical Practice Guidelines in Oncology. Non-Small Cell Lung Cancer. 2022. Version 2. NSCL-10
  • ACCP. Diagnosis and Management of Lung Cancer,3rd ed: American College of Chest Physicians Evidence-Based Clinical Practice Guidelines. 2013
  • 中国临床肿瘤学会指南工作委员会.中国临床肿瘤学会 (CSCO) 非小细胞肺癌诊疗指南. 2022.
  • Wu YL,Planchard D, Lu S, et al. Pan-Asianadapted Clinical Practice Guidelines for the management of patients withmetastatic non-small-cell lung cancer: a CSCO–ESMO initiative endorsed by JSMO,KSMO, MOS, SSO and TOS. Annals of Oncology, 2019,30(2):171–210, https://doi.org/10.1093/annonc/mdy554.






015641nipaioiic6f5plpc.gif
#链接

#相关链接
  • 疑似肺癌的肺结节的诊断评估
  • 外科治疗原则
  • 放射治疗原则
  • 影像引导的热消融治疗原则
  • 新辅助和辅助治疗的化疗方案
  • 联合放疗的化疗方案

@MAP注释:
  • R0=无肿瘤残留,R1=镜下肿瘤残留,R2=肉眼肿瘤残留。

多灶肺癌(Multifocal Lung Cancer,MFLC)(2a/ACCP 2C)
  • 定义:多发结节,至少为部分磨玻璃样结节,疑为恶性。
  • 怀疑或者证实MFLC,CT临床和纵隔评价阴性,远处和纵隔分期不常规推荐。
  • 怀疑或者证实MFLC,应尽可能接受治愈性治疗 。
  • 建议亚肺叶切除所有的可疑恶性结节。


  • 对于未进行SABR 或根治性放疗的患者,影像引导下的热消融(如冷冻、微波、射频)是一种选择。
  • 可观察到出现症状风险较低的病变(例如,小的并且生长缓慢的亚实性结节)。然而,如果病变出现症状或成为产生症状的高风险(例如,亚实性结节,生长加速或实性成分增加,或FDG 摄取增加,即使是很小的),应该考虑治疗。
  • 首选能保留肺实质的切除术,但应根据肿瘤的分布和机构的专业知识指导个体化治疗。
  • 应该对患者进行多学科评估(如外科、放射肿瘤科、肿瘤内科、介入科)。
  • 评估方法包括纵隔镜、纵隔切开术、EBUS、EUS和CT引导下活检。
  • PET/CT扫描的范围从颅底至膝盖或行全身扫描。PET/CT扫描发现的远处转移需要病理学或其它放射影像学检查确诊。如果PET/CT扫描发现纵隔转移,淋巴结状态需要病理学确诊。
  • 如果没有条件行MRI,行头部CT平扫加增强扫描。
  • 在手术评估后,对于有可能接受辅助化疗的患者,可用诱导化疗作为一种替代选择。
  • 不同细胞类型(如鳞状细胞癌、腺癌)的病灶可能是不同原发肿瘤。这种分析可能因活检样本量小而受到限制。然而,同一细胞类型的病灶并不一定是转移灶。
  • 双原发非小细胞肺癌(同时或者异时)且均可治愈,或同肺叶卫星结节(T3satell)者,推荐有创纵隔分期(ACCP 1B)。
  • 同侧不同肺叶肿瘤 (T4 Ipsi Nod )或者术前未发现而术中在不同肺叶发现第二个癌症者,在肺功能可耐受且没有N2累及情况下,推荐手术切除病灶(ACCP 2C)
  • 可观察到发展成有症状的风险低的病灶(如小而生长慢的亚实性结节)。但是如果病灶变成有症状或出现症状的风险变高(如亚实性结节生长加速或实质成分增加或FDG摄取增加,即使增加的幅度小),就应该考虑治疗。
  • 首选能保留肺的切除术,但应根据肿瘤的分布和医疗机构的专业经验制定个体化治疗方案。应对患者进行多学科评估(即外科、放射肿瘤科、肿瘤内科)。

参考文献
  • NCCN Clinical Practice Guidelines in Oncology. Non-Small Cell Lung Cancer. 2022. Version 2. NSCL-10可疑多原发肺癌部分,NSCL-11
  • ACCP. Diagnosis and Management of Lung Cancer,3rd ed: American College of Chest Physicians Evidence-Based Clinical Practice Guidelines. 2013
  • 中国临床肿瘤学会指南工作委员会.中国临床肿瘤学会 (CSCO) 非小细胞肺癌诊疗指南. 2022.
  • Wu YL,Planchard D, Lu S, et al. Pan-Asianadapted Clinical Practice Guidelines for the management of patients withmetastatic non-small-cell lung cancer: a CSCO–ESMO initiative endorsed by JSMO,KSMO, MOS, SSO and TOS. Annals of Oncology, 2019,30(2):171–210, https://doi.org/10.1093/annonc/mdy554.




回复

使用道具 举报

集思广益 发表于 2022-10-6 18:47:52 | 显示全部楼层
游客,您所在的用户组(游客)暂无权限查看回复内容,请微信注册本站
回复

使用道具 举报

集思广益 发表于 2022-10-6 18:48:24 | 显示全部楼层
游客,您所在的用户组(游客)暂无权限查看回复内容,请微信注册本站
回复

使用道具 举报

 楼主| 阳光肺科 发表于 前天 00:06 | 显示全部楼层
游客,您所在的用户组(游客)暂无权限查看回复内容,请微信注册本站
回复

使用道具 举报

 楼主| 阳光肺科 发表于 前天 00:07 | 显示全部楼层
游客,您所在的用户组(游客)暂无权限查看回复内容,请微信注册本站
回复

使用道具 举报

您需要登录后才可以回帖 登录 | 立即注册

本版积分规则

给我们建议|手机版|阳光肺科 ( 粤ICP备2020077405号-1 )

GMT+8, 2025-12-17 17:03

Powered by Discuz! X3.5

© 2001-2025 Discuz! Team.

快速回复 返回顶部 返回列表